
2029年选举:选举委员会公布400个选区议员选举选民总数为5290万人,可能因增删名单至1月28日而变动,强调检查议员选举资格 - 公投投票 - 报告无法投票原因
Contents
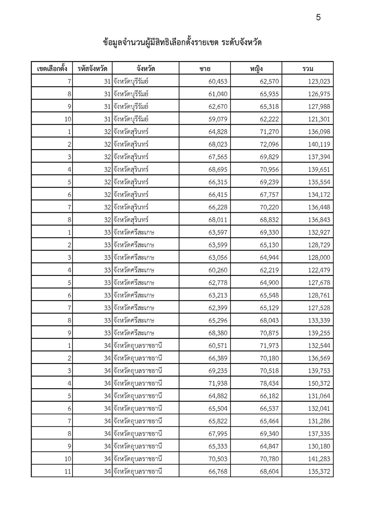
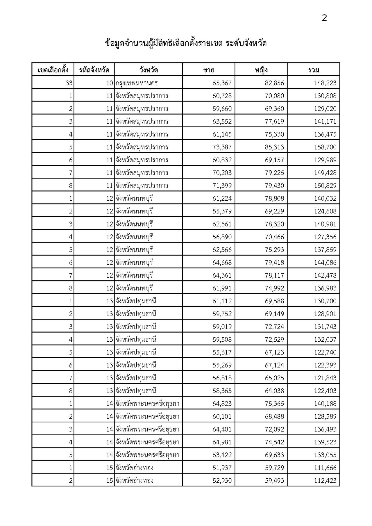
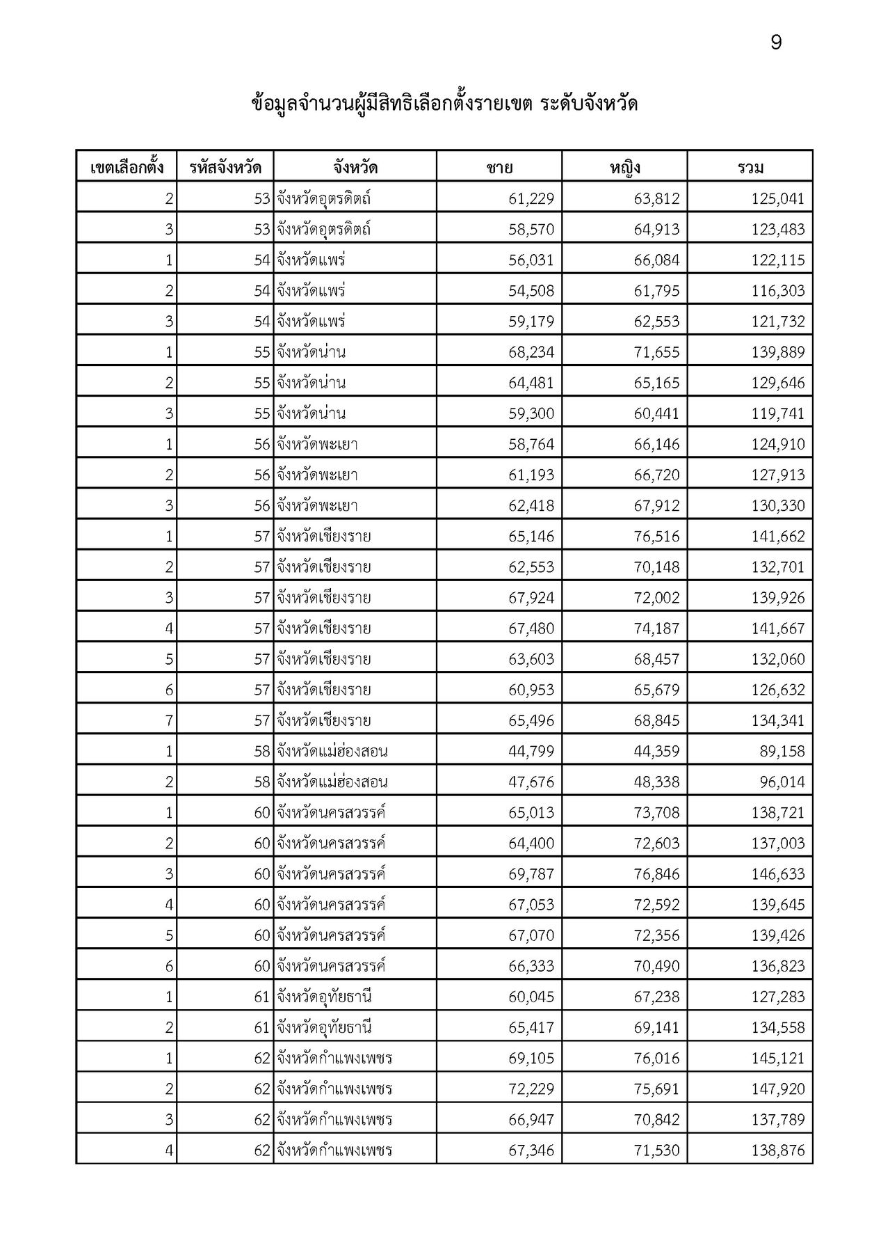
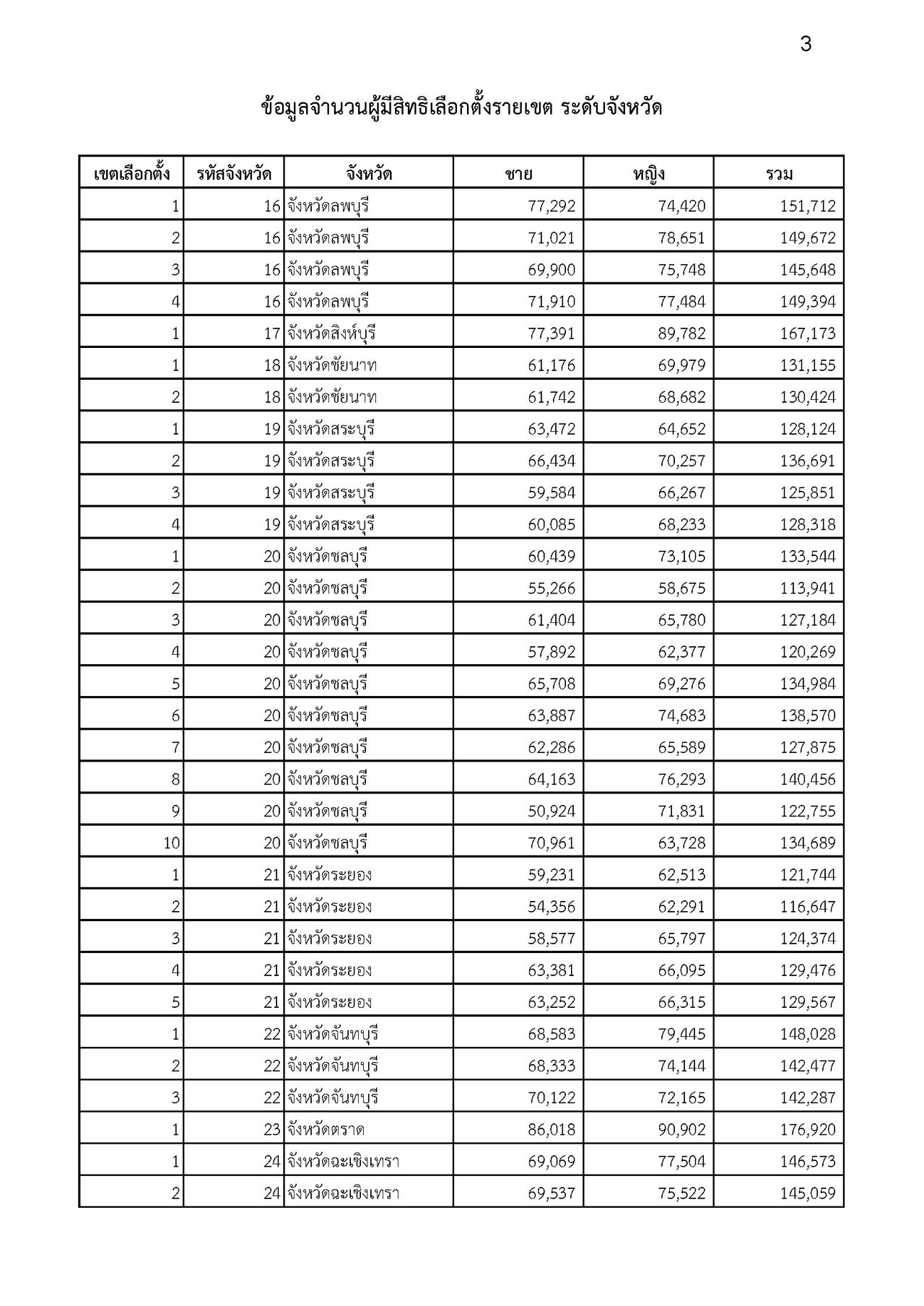
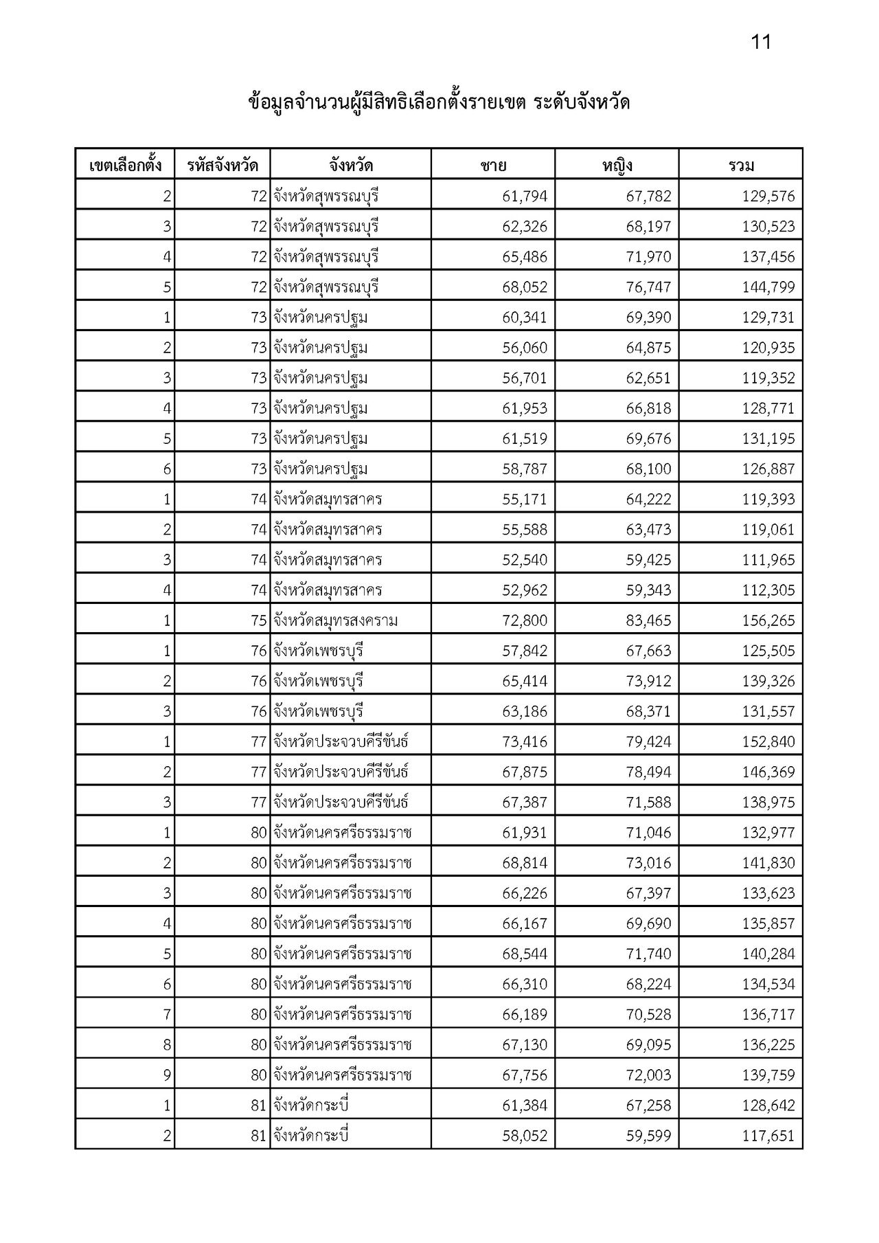
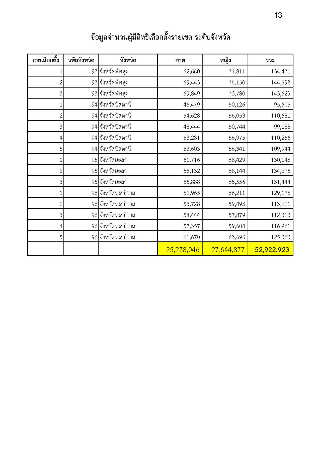
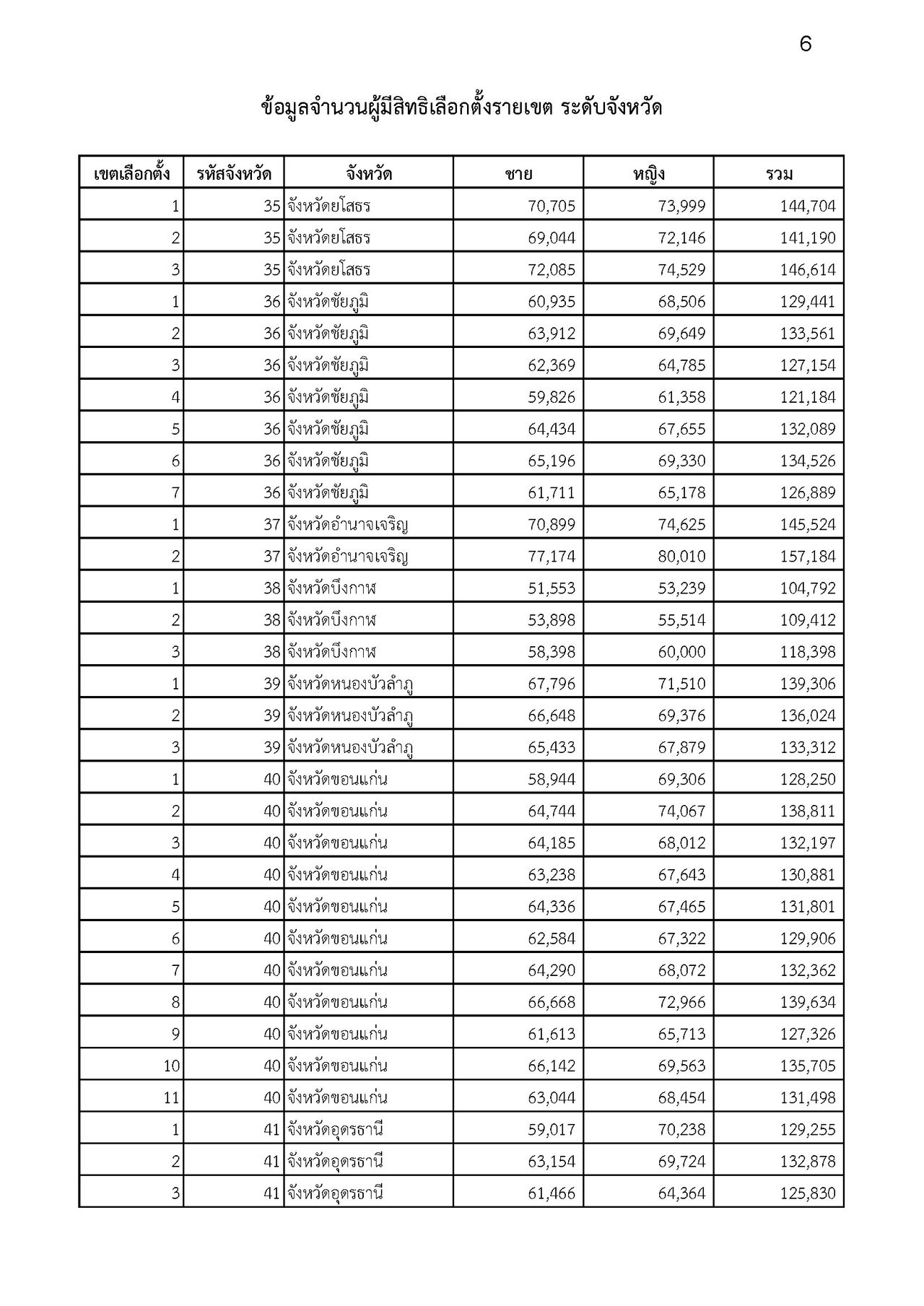
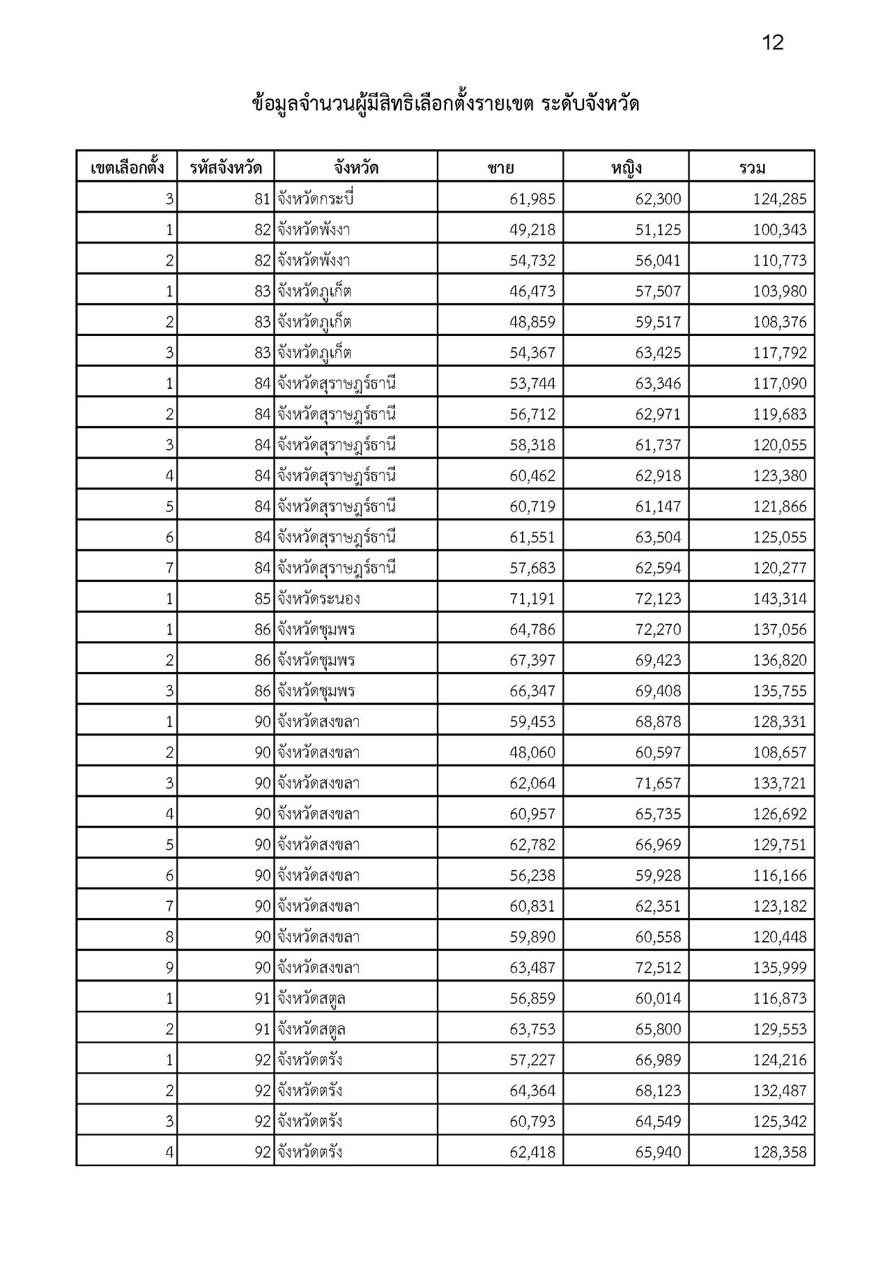
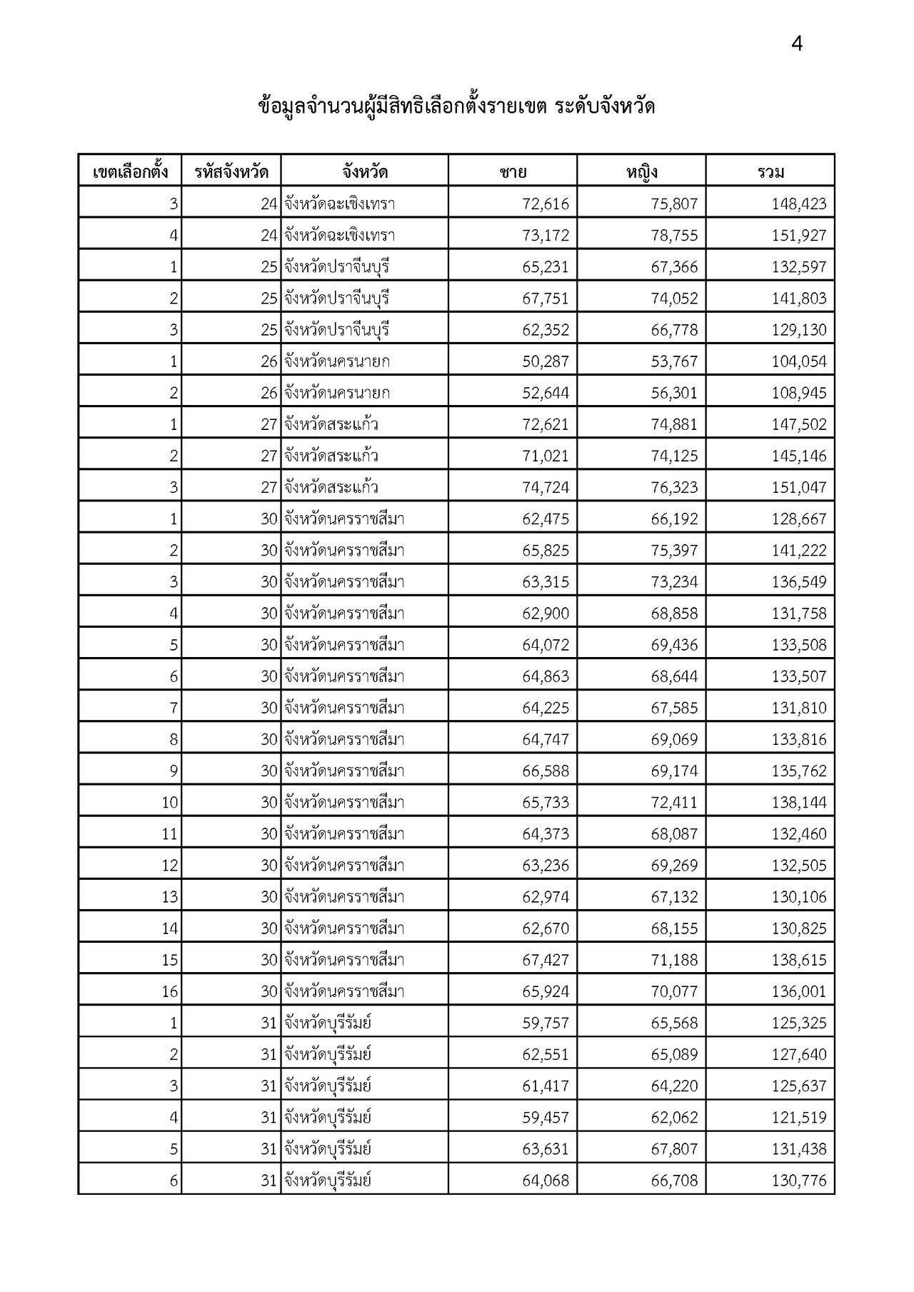
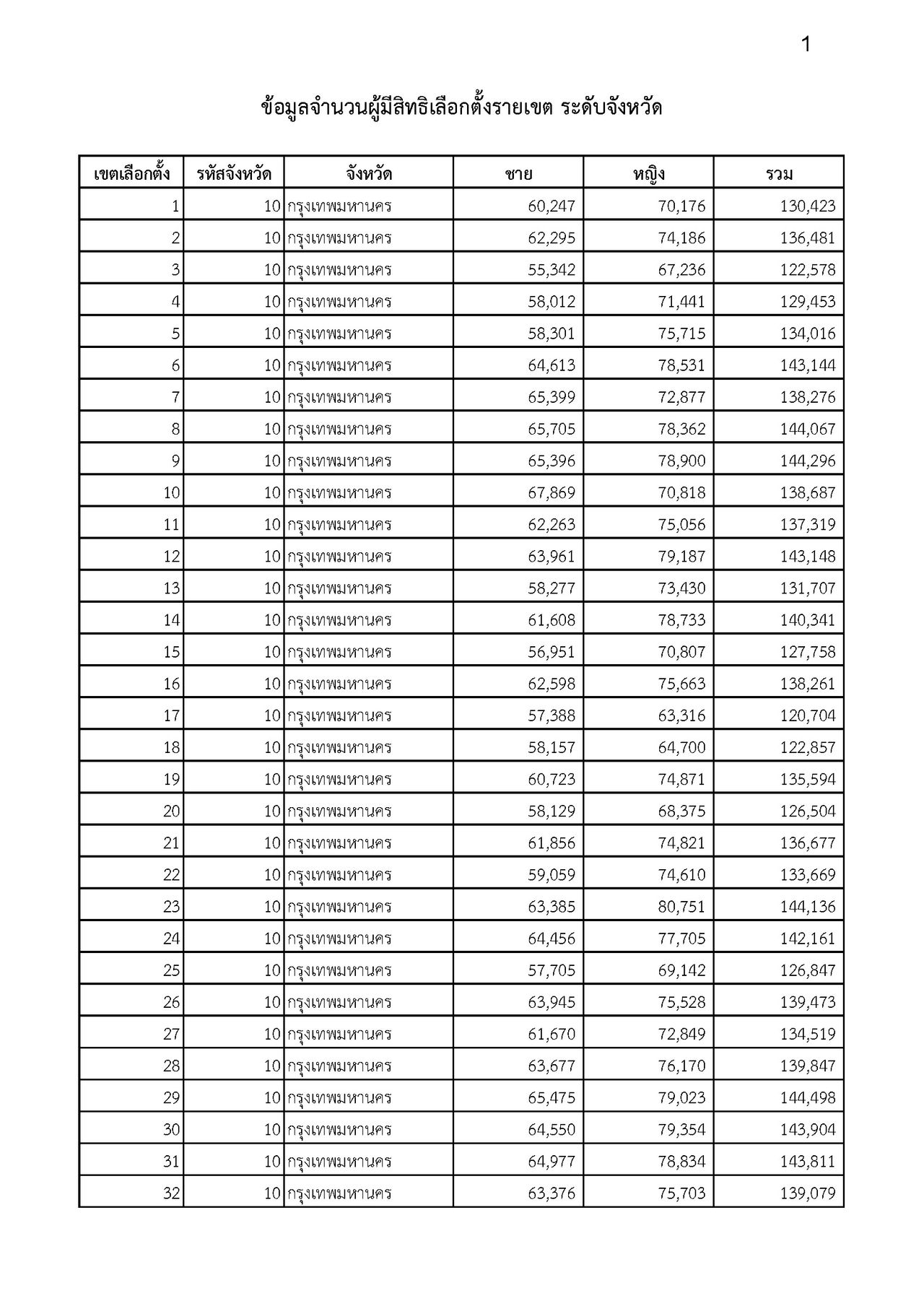
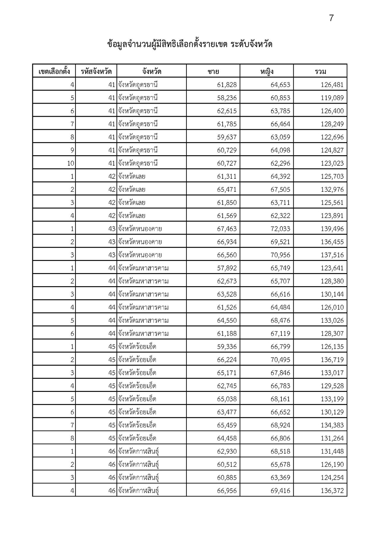
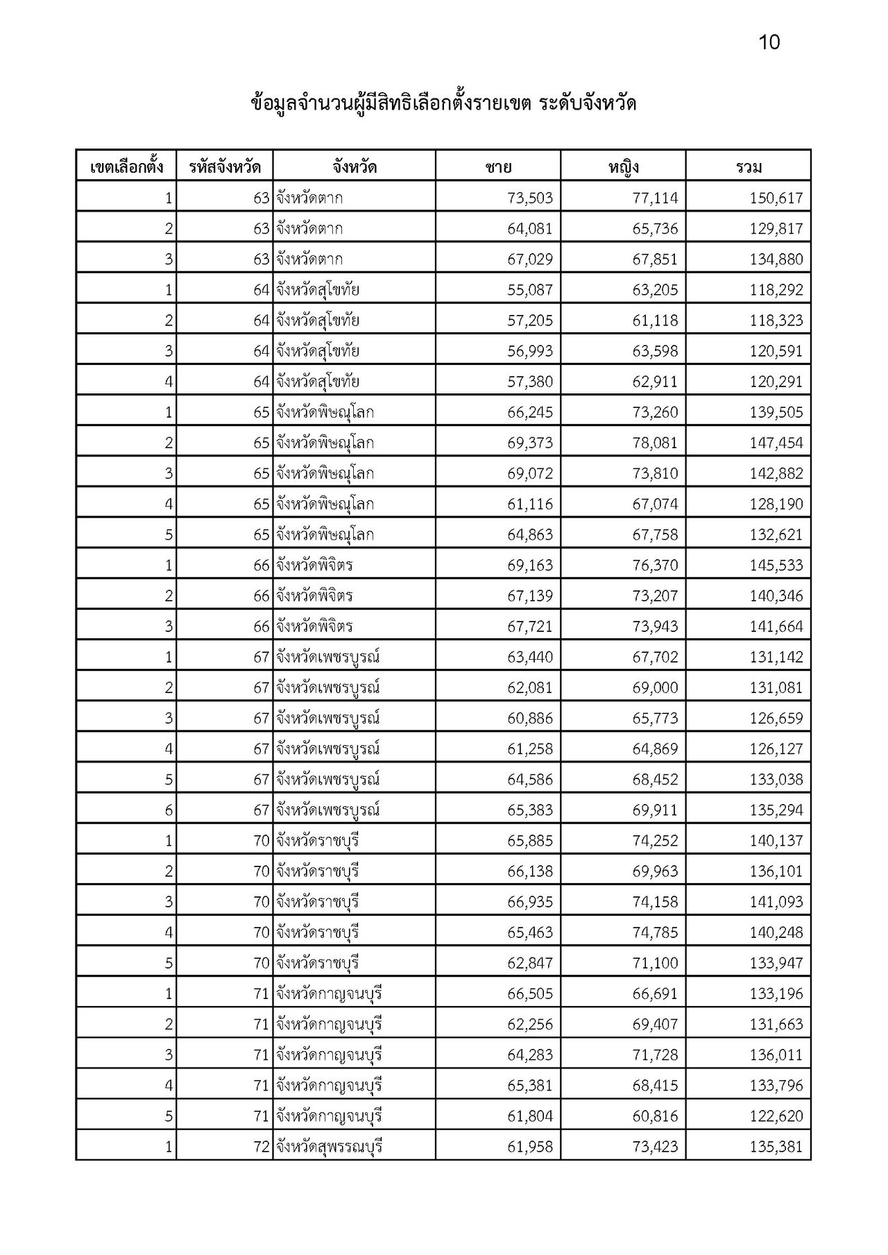
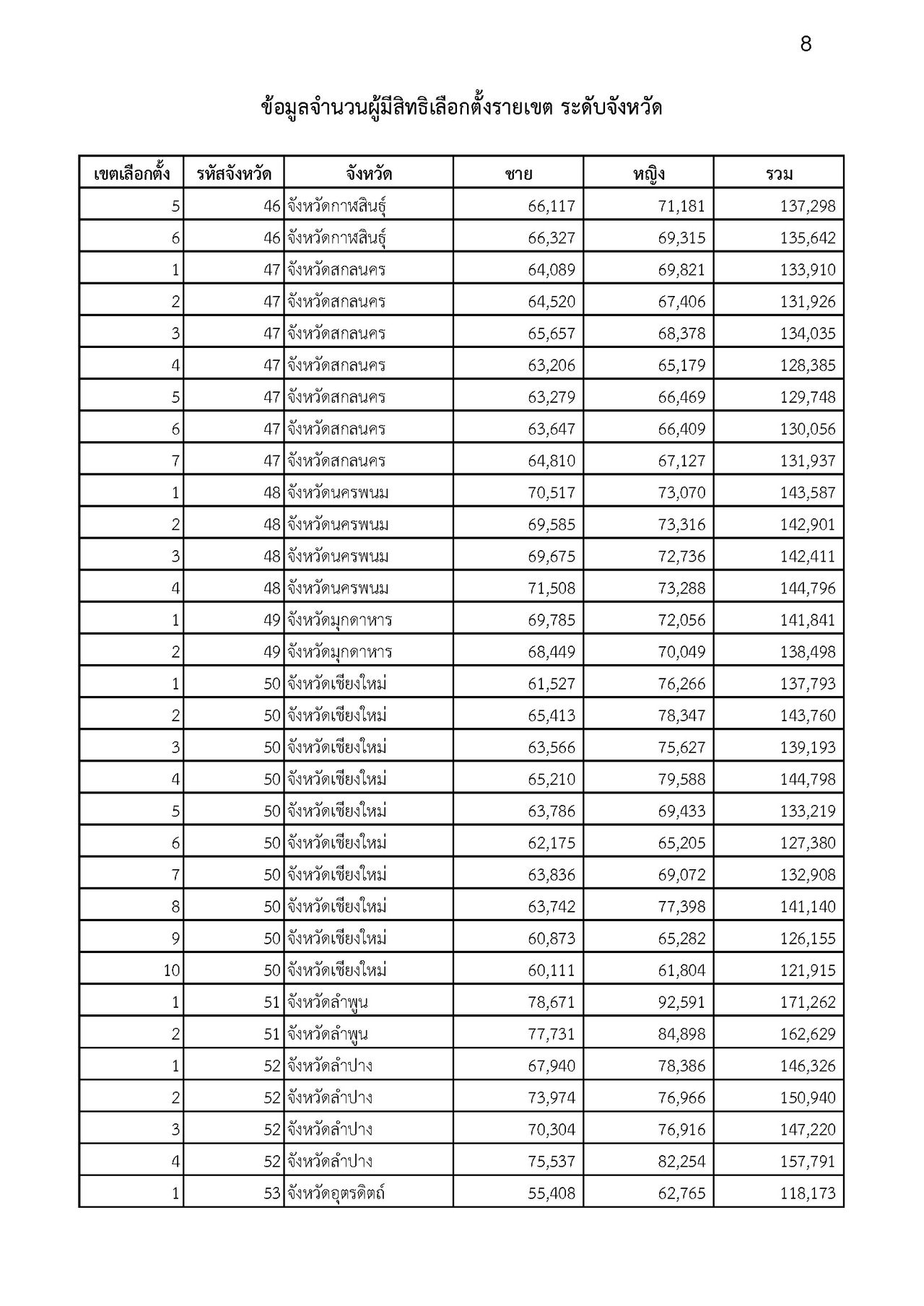
2029年1月15日,选举委员会办公室公布了400个选区议员选举的选民人数,覆盖77个省份包括曼谷,总选民人数为52,922,923人,其中男性25,278,046人,女性27,644,877人,数据截至2029年1月14日。
此外,选民人数可能发生变化,因为仍在可申请增删选民名单的时间范围内,直至2029年1月28日。
检查2029年选民名单
然而,公众可以在内政部网站上检查2029年选民名单和公投投票资格,将显示选举日期、姓名、选区、投票单位、投票地点和名单顺序。
报告无法投票选举和公投
对于因必要原因无法投票的情况,选民可以通过电子渠道报告无法投票议员的必要原因,需在选举前7天或选举后7天内完成,以及报告无法投票公投的必要原因,需在名单公布后至投票前或投票后7天内完成。














(编译:张悦 泰国中文社;审校:Ken;来源:Thairath)
原创文章,作者:Nanthapong S.,如若转载,请注明出处:https://thais.com/news-75936/